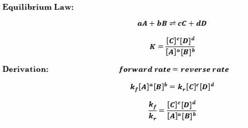
其中K是平衡常数,A,B,C,D是水/气体化合物的平衡浓度,A,B,C,D是平衡的化学方程式的系数。
平衡常数与正反应和逆反应的速率常数有关。对于给定的反应,在给定的温度下,它总是相同的。因为k随温度变化,所以k也是。
异构平衡:
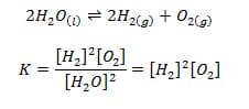
任何含有两种不同状态化合物的反应都称为非均相反应。平衡定律不涉及液体和固体化合物。它们实际上被并入K中因为它们不改变。液体或固体的浓度就是它们的密度;不管有多少固体或液体。但对于水溶液和气态化合物却不是这样,因为它们的浓度取决于容器的体积。
凯西:级
K代表平衡的相对位置。
如果K很大(k> 1),这意味着分子大于分母生成物比反应物更集中。平衡更靠右。
如果K很小(K<1),这意味着分子比分母小反应物比生成物更集中。均衡更偏向左边。
凯西:计算
如果平衡浓度是[I2] = [H2) = 0.442米,(嗨)= 3.116 m
使用K:
确定所有物种的平衡浓度。
引用这篇文章如下:William Anderson (Schoolworkhelper编辑团队),“平衡常数(K)”,在SchoolWorkHelper,2019,//www.chadjarvis.com/the-equilibrium-constant-k/.
用你的旧作文帮我们修复他的笑容,这只需要几秒钟!
-我们在找你以前的论文、实验和作业。
-我们会审查并发布在我们的网站上。广告收入用于支持发展中国家的儿童。
-通过“微笑手术”和“微笑列车”支付腭裂手术的费用。







